반응형
250x250
Notice
Recent Posts
Recent Comments
Link
일 | 월 | 화 | 수 | 목 | 금 | 토 |
---|---|---|---|---|---|---|
1 | 2 | 3 | 4 | |||
5 | 6 | 7 | 8 | 9 | 10 | 11 |
12 | 13 | 14 | 15 | 16 | 17 | 18 |
19 | 20 | 21 | 22 | 23 | 24 | 25 |
26 | 27 | 28 | 29 | 30 | 31 |
Tags
- 횡방향 동역학
- 자동제어
- 비선형제어
- #! /usr/bin/env python
- 2024적금
- 보드선도
- 백스테핑
- Isaac Sim
- 오류
- 나이퀴스트선도
- FL
- 궤환 선형화
- 터미널 오류
- control
- 나이퀴스트
- RL
- 제어공학
- ros2humble
- ROS2
- 차량 동역학
- feedback linearization
- 궤환선형화
- Backstepping
- Python
- 경로계획
- 러닝 #운동 #동기부여
- 우분투
- lateral dynamics
- humble
- 강화학습
Archives
- Today
- Total
내 머릿속
자동제어/제어공학 (나이퀴스트 선도 그리기 8) 본문
728x90
반응형
SMALL
SMALL
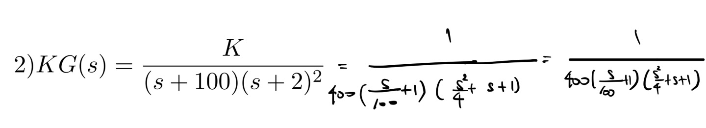
다음 예제 한번 보겠습니다.
이번엔 보드선도를 통해 그려보겠습니다.
보드선도를 그리기 위해 꼴을 살짝 수정해주었습니다.
보드선도는 각각의 보드선도를 그리고 합쳐주는 방식으로그리시면 되는데 검정색이 완성된 보드선도입니다.
이를 나이퀴스트에 사용하려면 위상값과 크기를 알아야합니다.
w=0일때는 -52dB = 20logA 이고, A = 2.511*10^-3이기 때문에 크기는 A, 위상은 0도입니다.
w=inf일때는 -inf dB = 20logB이고, B = 0입니다. 위상은 -270도이겠네요.
이를 나이퀴스트 선도에 w=2값을 구해서 도시하면
이렇게 되고, K값이 양수일때 K값을 아무리 늘이거나 줄여도 감싸지 않게 됩니다.
N=0이고, P=0이므로, Z=0 따라서 K>0인 조건에서는 Stable합니다.
728x90
반응형
LIST
'전공과목 정리 > 자동제어' 카테고리의 다른 글
자동제어/제어공학 (나이퀴스트 선도 그리기 7) (0) | 2022.10.01 |
---|---|
자동제어/제어공학 (나이퀴스트 선도 그리기 3) (0) | 2022.09.30 |
자동제어/제어공학 (나이퀴스트 선도 그리기 2) (0) | 2022.09.30 |
자동제어/제어공학 (나이퀴스트 선도 그리기 1) (2) | 2022.09.30 |
자동제어/제어공학 -5- (0) | 2022.07.19 |